>> Polymer & Additives
>> Flame-retardants & Rubber additives
>> Nuturition & API'S
>> Cosmetic
SUNCHEM GROUP:
ADD:9/F DEXING BUILDING,545 MUSEUM ROAD,YANGZHOU,CHINA.
TEL:0086-514-87851548 FAX:0086-514-87872867
E-MAIL:market@shsunchem.com
JAPAN OFFICE:
ADD:TAKEFUYANAGICY 06-30 ECHIZEN CITY, FUKUIKEN, JAPAN
TEL:0081-778-213-854 FAX:0081-778-213-853
KOREA OFFICE:
ADD: #502 ,106-6, SUNGBO BLDG, NONHYEON-DONG,GANGNAM-GU,SEOUL,135-821,KOREA
TEL: 0082-2-552-7085 FAX: 0082-2-552-7086
USA OFFICE:
31 FISCHER GRAD,RES.APT, 2C NOTRE DAME, INDIANA, USA.
TEL: 001-574-485-8914
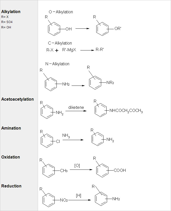
R & D
We can supply Customer Synthesis and Contract Manufacturing
Reaction Types and Technologies
We specialize in the following reactions:


